分子磁体研究团队Angew. Chem. Int. Ed.:兼具圆偏振发光与磁-手性二色性的手性稀土单分子磁体

发布人:陈昱昀 责任审核人:冯双

 

单分子磁体(SMMs)因其固有的磁滞现象和慢磁弛豫行为,在分子材料领域受到了广泛关注。然而,随着对多功能材料需求的日益增加,仅具备磁响应的系统已显不足。因此,通过精细配体设计整合额外功能的 SMMs 逐渐成为研究热点。其中,手性 SMMs 尤为引人注目,因为手性、磁性和光学性质之间的相互作用能够赋予材料额外的物理响应。将镧系离子的两种固有特性:(1)高自旋-轨道耦合(SOC)与(2)来源于 4f–4f 跃迁的精细光学吸收/发射,与同一分子结构中的手性特征相结合,使得诸如磁-手性二色性(MChD)和圆偏振发光(CPL)等附加性能得以出现。这些特性使手性SMMs在高密度磁存储、光学磁读出以及手性光学开关等方面具有潜在应用价值。

-手性二色性(MChD)是指手性系统在磁场中表现出的光的非互易吸收或发射。该效应已成为研究手性与磁性相互作用的前沿工具,也可用于在非偏振状态条件下探测手性物质的磁学状态。由于 MChD源于磁化系统中空间反演对称性的破缺,手性 SMMs 既是研究该效应的理想构筑基元,也是通过化学设计优化磁-手性光学响应的平台。除了基态的磁-手性光学响应之外,圆偏振发光(CPL)已成为探测稀土配合物激发态手性响应的有效方法。稀土三价离子(Ln³⁺)的光激发态具有锐利的4f–4f发射带、长寿命以及高量子产率等优点,在光物理应用中极具吸引力。在手性稀土配合物中,对于以磁偶极跃迁为主导的发射带,通常可观察到较大的发光不对称因子(glum),这也是衡量 CPL 活性的关键性能指标。因此,具备此类性能的手性 SMMs(图1)在多功能材料开发方面展现出广阔的应用前景。

1. 兼具圆偏振发光和磁-手性二色性的手性镝单分子磁体

分子磁体团队长期致力于高性能稀土单分子磁体以及混合稀土-过渡金属单分子磁体的结构设计、理性合成与磁构关系研究,显著提升了单分子磁体性能,包括磁滞开口温度突破液氮温区、各向异性能垒超过2000 K,揭示了核自旋驱动隧穿驰豫速率显著减慢行为与机制(系列综述Chem. Soc. Rev.201847, 2431-2453; Chem. Eur. J.201824, 7574-7594; Coord. Chem. Rev.2019378, 365-381; Coord. Chem. Rev.2019387, 129-153; Chem. Commun.202056, 13702-13718; Chem. Sci.202213, 8716-8726; Chem. Commun.202359, 6159-6170; Inorg. Chem. Front.202310, 3742-3755; Coord. Chem. Rev.2023475, 214880; 《中国科学:化学》,202454, 1413-1434)。

近期,该团队基于高性能 SMM 构筑单元 [Dy(bbpen)]⁺ 与手性环己二胺配体首次合成了纯手性配合物对映体[Dy(bbpen)(S,S/R,R-chxn)](BPh4) (Dy-S/R)(图2)。

2. 手性配合物Dy-S/R的分子结构。

室温下的圆二色性光谱(NCD)确认了Dy-S/R对映体特性,在4I15/2← 6H15/2跃迁测得最大的gNCD不对称因子为 0.138(1)。磁圆二色光谱(MCD)显示了电偶极诱导的 6F5/2← 6H15/2跃迁强烈的磁光响应,其gMCD不对称因子在室温下高达 0.047(1) T⁻¹,为迄今报道的手性 SMMs 中的最高值。手性与发光特性的结合使得配合物 Dy-S/R在室温下展现出显著的圆偏振发光(CPL)性能(图3),其中溶液中 4F9/2→ 6H11/2磁偶极允许跃迁的 |glum| 值可达 0.23(2),固态中为 0.059(8),同样创下了手性 SMMs 的新纪录。

3. Dy-S/R室温下的圆偏振发光(CPL)性能,包括溶液态(CH2Cl2ab)和固态(cd)下的 ΔIac)与 glum值(bd)。

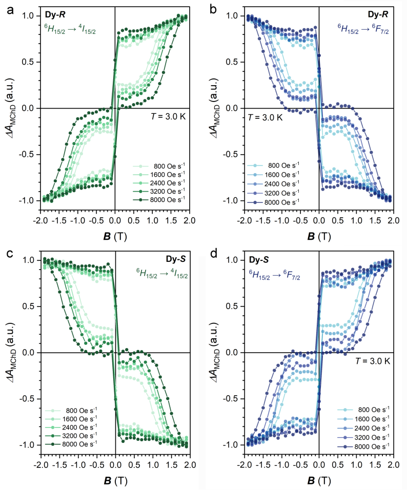
变温、变磁场的磁-手性二色性光谱(MChD)表明,Dy-S/R配合物存在天然光学活性与磁性的协同作用,其中,具有NCD 活性的 4I15/2← 6H15/2跃迁在 3.0 K 下呈现出 gMChD = 0.18(1) T⁻¹的信号,这是目前已报道的 Dy3+手性配合物中最强的磁-手性光学响应之一。与此同时,该配合物在低温下显示出显著的 SMM 行为,包括零场下超过 800 K 的有效能垒和8 K下的磁滞效应。利用天然光学活性、磁光学活性和 SMM 行为之间的协同作用,低温动态 MChD 测量能够高分辨地光学追踪两种对映体及不同电子跃迁对应的磁滞回线,从而实现对SMM行为的光学读取(图4),这一结果可望为光子学与磁数据读取开辟了新方向。

4. 在 T = 3.0 K 且不同磁场扫描速率,对应 Dy-Ra,b)和 Dy-Sc,d)的动态 MChD 测量获得的MChD 信号积分面积(430–460 nm 和 840–880 nm)。所示数据分别对应 6H15/2→ 4I15/2(最大波长约 450 nm,绿色)和 6H15/2→ 6F7/2(最大波长约 470 nm,蓝色)跃迁。

这一成果发表在Angewandte Chemie International Edition上,并被选为VIP论文。日本三级片 为该成果的第一完成单位,日本三级片 博士生陆芃旭为论文第一作者,童明良教授和法国国家科学中心Matteo Atzori博士为共同通讯作者。该研究得到了国家自然科学基金卓越研究群体(原基础科学中心)、重点等项目的支持。

论文信息:“Chiral Dysprosium Single-Molecule Magnets displaying Circular Polarized Luminescence and Magneto-Chiral Dichroism”, Peng-Xu Lu, Langit Cahya Adi, Pei-Yu Liao, Wei Deng, Hai-Ling Wang, Jian-Hua Jia, Geert L. J. A. Rikken, Cyrille Train, Matteo Atzori,* and Ming-Liang Tong* Angew. Chem. Int. Ed.202665,e2565905 (VIP Paper). 

全文链接://onlinelibrary.wiley.com/doi/10.1002/anie.2565905